High‑Pressure Fluids & Planetary Mixtures

Under gigapascal pressures, water and methane become unexpectedly miscible: methane solubility in water can exceed 35 mol% near 2–3 GPa, overturning everyday intuition and informing models of icy giant interiors.

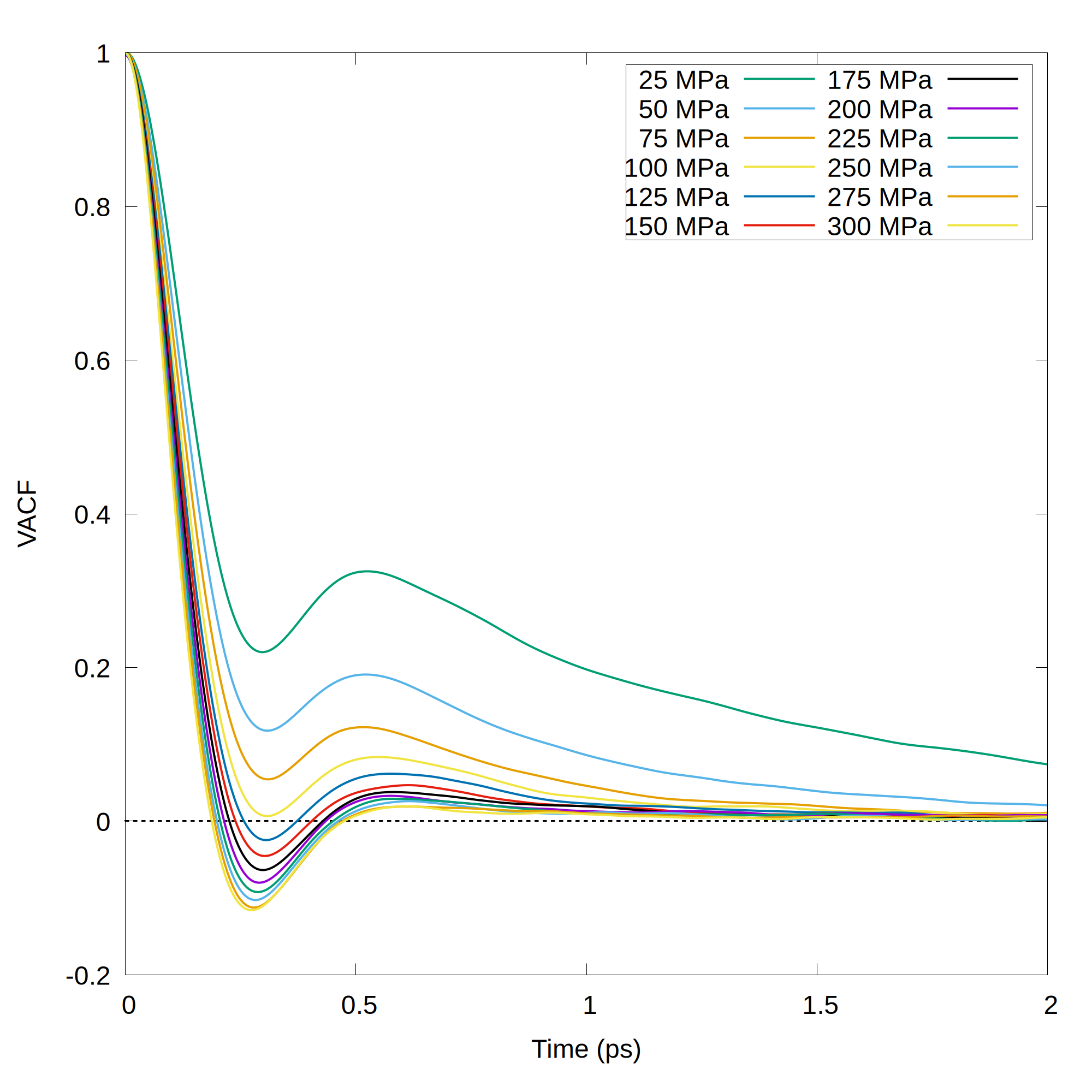
VACF for nitrogen
Given the velocity of a molecule, VACF measures how fast it is moving some time later, on average. At low pressure (25MPa) the nitrogen molecule "remembers" its velocity for several picoseconds. Above 100GPa, molecules are so densely packed that the molecule is likely to have hit another and bounced back. At room temperature, a nitrogen molecule travels it own diameter in about 0.5ps.
Water-Methanol DFT
Density functional theory calculation for methane in water shows that the hydrogen-bonding network distorts without breaking around a single methane molecule. Because it make only four bonds to its neighbours, water has an open structure. At high pressure, squeezing the methane into the interstitial space in water reduces the enthalpy (by pressure times volume) while still allowing the water to have four water neighbours. This makes it favourable to dissolve methane in water at pressure, which we obserevd in experiments.

References

  1. When immiscible becomes miscible — Methane in water at high pressures, Pruteanu, Ackland, Poon & Loveday, Science Advances (2017)
  2. Krypton and the Fundamental Flaw of the Lennard-Jones Potential, Pruteanu Loveday Ackland Proctor, Journal of Physical Chemistry Letters (2022)
  3. Frenkel line in nitrogen terminates at the triple point Pruteanu, Kirsz, Ackland, Journal of Physical Chemistry Letters (2021)
  4. From atoms to colloids: Does the Frenkel line exist in discontinuous potentials? Pruteanu, Bannerman Kirsz Lue Ackland, ACS Omega (2023)